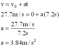
3. A new brand of sports car is advertised to accelerate from zero to 100 km/hr in 7.2 s. a) What is its acceleration in m/s/s? b) How far does the car travel during that time?

 

 vo = 0
v = 100 km/hr = 27.7 m/s
t = 7.2 s

 

 

One needs to watch units here. Different time units (hours and seconds) could spell disaster to any problem solver who fails to pay attention to units.
Once again, there are multiple choices for part b). The method chosen answers the question with given information
 Last modified 08/16/06