Excessive speed can be a contributing factor in causing accidents because it can foreclose the amount of time and distance available to stop. A driver moving at 60 mi/hr (use its equivalent: 27 m/s) comes over a rise and sees a car stalled in her lane 40 m ahead. She uses .4 sec reaction time before she engages the brakes which give the car an acceleration of -10 m/s^2. Is there a collision? (Hint: What happens to the car during the .4 seconds that the driver needs to engage the brake?
| The car in this problem has two accelerations (0 and -10 m/s/s); we need two tables of data. Solving for x allows us to find how far the car travels before the brakes are applied. |
a = 0 t = .4 s vo = 27 m/s |
![]() |
|
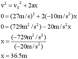
| So let us now find the distance needed to stop |
x = ? a = -10 m/s vo = 27 m/s v = 0 |
![]() |
|
| The stalled car is toast | |
Last modified 08/16/06