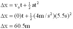
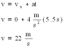
1. A car starts from rest and accelerates at 4 m/s/s for 5.5 s. At that time a) how far has it traveled? b) how fast is it moving.
|
There are four quantities in each of the motion equations. Two are given and a third is implied ("starts from rest"). |
Vo = 0 a = 4 m/s/s t = 5.5 s |
![]() |
![]() |
| Note: There are other paths to solving part b) once part a) is completed. The other paths also yield the correct answer. The equation from page 1, line 1 was chosen because all data used were given. | |
| Page created 08/15//06 | |