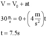
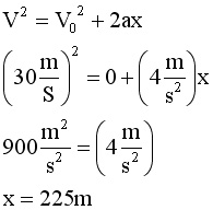
1. A car starts from rest and accelerates and 4 m/s/s.
A) How long will take the car to reach a speed of 30 m/s?
B) How far will the car travel to get to this point?
|
|
How long means find elapsed time | How far means find a distance | |
| V | 30 m/s |
![]() |
![]() |
| Vo | 0 | ||
| a | 4 m/s/s | ||
| x | ?B) | ||
| t | ?A) | ||
Notes:
1. Having done part A), other page one equations will work to solve for psrt B).The equation chosen here uses only given data.