3. A car is stopped at a traffic light when the light turns green. Now the car accelerates uniformly at a rate of 2 m/s/s. Just as the light turns green, the car is passed by a truck with a constant speed of 20 m/s. A) How far does the car travel before catching the truck? B) How long does this event take? C) At the meeting place, how fast is each vehicle traveling? D) Sketch position-, velocity-, and acceleration vs. time graphs for the situation.
|
|
||||
| truck | Car |
![]() t = 20 s |
![]() |
|
| V | ||||
| V0 | 20 m/s | 0 | ||
| a | 0 | 2 m/s/s | ||
| x |
|
|
||
| t |
|
|
||
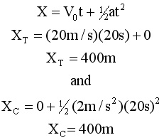
1. This problem has two objects moving; notice two tables
of data.
2. See this as a rendezvous problem; both vehicles start at same
place and time (0,0); at later intersection , vehicles are at
same place again at t = 20 s
![]() |
![]() |