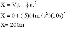
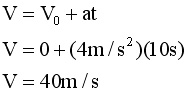
5. A subway train starts from
rest and accelerates at 4 m/s/s for 10 seconds. Now the train
travels at a constant speed for 30 seconds. Finally, the train
slows uniformly to a halt in five seconds. A) find total distance
traveled by the subway train. B) sketch position-, velocity-,
and acceleration vs. time graphs for the situation.
|
Given data |
|
|
|
|
speed up |
coast |
slow down |
 |
 |
|
V |
|
|
0 |
|
Vo |
0 |
|
|
|
a |
4 m/s/s |
0 |
|
|
x |
|
|
|
|
t |
10 s |
30 s |
5 s |
Notes:
1. The train has three accelerations; therefore data must be sorted
into three piles.
2. there is enough data to solve for X1 only.The final velocity
from part one is the initial velocity in part 2 and in part 3