7.We will see later in the course that
motion on a friction-free inclined plane occurs with uniform acceleration
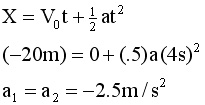
directed down the plane. Block 1 starts from rest and slides down
such a plane 20 m long, making the trip in 4 sec. a) What acceleration
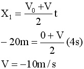
does the block experience? b) How fast is it moving when it reaches
bottom? At he same time Block 1 is released, Block 2 is launched
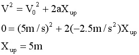
from the bottom.Block 2 travels part way up, stops, and returns
to bottom, arriving at the same time as block 1. c) find the launch
speed for block 2. d) How far up the plane does it go? e) Sketch
the graphs
|
Given data |
 |
 |
 |
|
|
Block 1 |
Block 2 |
|
V |
|
|
|
Vo |
0 |
|
|
a |
? |
-2.5 m/s/s |
|
x |
-20 m |
0 |
|
t |
4s |
4s |
|
Given data for part d) |
 |
|
|
Block 1 |
Block 2 |
|
V |
|
0 |
|
Vo |
|
5 m/s |
|
a |
|
-2.5 m/s/s |
|
x |
|
? |
|
t |
|
|